基于阳极氧化钨箔的Z型BiVO4/WO3光电极构建与作用机理研究
(环境与化学工程学院 南昌航空大学, 南昌 330063)
摘要: 三氧化钨具有良好的可见光响应、氧化能力和耐光腐蚀性, 是理想的光电极材料, 但光生电荷分离效率低、还原能力弱和活性位点少等缺陷限制其广泛应用。本文利用阳极氧化法结合电沉积———化学氧化法在钨箔上原位生长BiVO4/WO3光电极。在模拟太阳光照射和辅助偏压0. 6V的协同作用下, BiVO4/WO3光电极对盐酸四环素、氧四环素和氯四环素的降解率高达95. 8%、85. 6%和96. 9%。此外, 以BiVO4/WO3光电极作阳极, 与铂碳阴极所构建的光催化燃料电池表现出优异的产电性能, 以甲醇为燃料时, 填充因子FF可以达到0. 3793, 是WO3光电极的1. 35倍。这是因为BiVO4与WO3接触界面形成的Z型异质结, 使BiVO4/WO3光电极具有活性位点多、光响应能力强、光生电荷分离效率高以及氧化还原能力强等优势。
关键词: BiVO4/WO3, 光电催化, Z型异质结, 降解, 产电
DOI: 10.48014/jccm.20250120001
引用格式: 杨富林, 李婷婷, 林宇熙, 等. 基于阳极氧化钨箔的Z型BiVO4/WO3光电极构建与作用机理研究[J]. 中国化学与材料学报, 2025, 1(1): 1-21.
文章类型: 研究性论文
收稿日期: 2025-01-20
接收日期: 2025-03-27
出版日期: 2025-06-28
0 引言
近些年来,随着经济和医疗技术的突飞猛进,抗生素作为促进动物生长和保障人类健康的药物而被广泛使用,但抗生素不能被人或动物充分代谢,且会通过粪便、尿液等排泄物进入污水处理厂[1]。抗生素具有抗菌特性,一些污水处理设施不能够有效去除抗生素,因此抗生素进入水生环境会对人类健康和环境构成重大威胁,保护环境资源的压力逐渐增大[2]。在水生环境中,抗生素的积累会导致抗生素耐药微生物以及耐药菌的出现和进化,构成极大的卫生风险[3]。由于抗生素的持久性和稳定性,使得抗生素的去除十分困难[4]。现如今,用于去除废水中抗生素的传统方法包括吸附、絮凝、膜过滤和臭氧氧化等[5]。然而,这些方法需要较高的运行成本且不能有效去除抗生素[6]。因此,开发高效、绿色、可持续、廉价的低环境影响的抗生素降解方法是解决这一环境问题的关键。近年来,光催化技术作为新兴的水污染治理手段,因其独特优势而受学术界关注。该技术利用半导体材料在光照条件下产生的催化作用,通过表面反应实现污染物的降解[7]。相较于传统处理方法,这一技术展现出多方面的优越性:操作流程简便、不会产生二次污染、能源消耗较低。另外值得一提的是,该技术能够直接转化太阳能为反应能量,避免了额外的能量损耗,这一特性使其在环境保护领域具有重要的战略价值[8]。而光电催化(PEC)技术结合电催化和光催化的优势,在施加偏置电压下光生电荷分离更快,对抗生素的去除效率较高[9,10]。该工艺具有高效利用太阳能、反应不添加有害化学试剂、多领域广泛应用、催化剂可重复利用以及反应条件不苛刻等优点,是污染物无害化处理领域的研究热点。其中高效光催化剂的设计和制备是光电催化的核心,已成为多方学科的重要研究课题[11,12]。
三氧化钨是一种典型的n型光催化剂,因其具有制备简单、成本低、无毒、在、能带隙窄等优点被认为是最有前途的光催化候选材料之一[13-15]。与其他半导体材料相比,三氧化钨有良好的电子迁移率、抗光腐蚀能力、在酸性电解质中耐腐蚀性能以及优异的回收性能,被认为是一种高效的可见光活性光催化剂。然而,三氧化钨由于其较低的CB位置、光生空穴迁移速率慢、光生载流子复合率高等缺点,光催化效率仍远低于实际要求。许多策略都致力于解决上述问题,如形貌控制[16]、缺陷工程[17]、元素掺杂[18]和异质结构建[19]。在目前的这些策略中,异质结的构建可结合不同的电子结构改善电荷分离和转移性能,从而提高光催化效率[20]。许多研究将WO3与其它半导体耦合成ii型或Z型异质结复合材料,从而显著延长光生载流子的寿命,实现高效的光催化反应。与单组分WO3光催化剂相比,异质结复合材料都表现出更优异的电荷分离效率和光催化活性。BiVO4具有较宽的可见光吸收范围和相对合适的带隙位置,是一种稳定的光催化剂[21],而构建异质结可以利用异质结的互补优势来提高材料的光催化性能。例如,Wei等[22]以氯化钨、冰醋酸、钛酸四丁酯为原料,采用水热法制备TiO2/WO3复合材料,使得复合材料具有高效的电荷分离和运输特性[23,24],因而高效提升复合材料的光催化性能。而基于能级理论分析,WO3和BiVO4的能级匹配良好,这是由于BiVO4对氢还原电位的导带比WO3更近,对水氧化的价带也更近,更有利于光生载流子的转移和分离[25]。
在本研究中,首先采用阳极氧化法在钨箔上原位生长WO3纳米多孔膜,然后使用电沉积结合化学氧化法在三氧化钨上负载BiVO4,构建Z型BiVO4/WO3复合材料。通过XRD、SEM、HRTEM、XPS等表征方法,对复合材料的晶体结构、形貌及组成进行研究。通过UV-vis、PL光谱研究复合材料的光吸收特性和光电分离效率。通过电化学工作站(CHI660E)进行光电流响应及电化学阻抗谱(EIS)测试,探究复合材料的光电化学性能。以盐酸四环素、氧四环素、氯四环素为降解对象,测试BiVO4/WO3的光电催化降解性能。以甲醇、罗丹明B、盐酸四环素、氧四环素为燃料,测试BiVO4/WO3的产电性能。
1 实验
1.1 材料制备
1.1.1 主要试剂
钨箔(99.99%)、丙酮(AR)、无水乙醇(AR)、氢氟酸(40%)、氟化钠(AR)、五水硝酸铋(AR)、乙二醇(AR)、偏钒酸铵(AR)、无水硫酸钠(AR)。
1.1.2 钨箔的预处理
将购买的钨箔统一裁剪成1.5cm×3.5cm的尺寸大小,将其放入烧杯中,分别用丙酮、无水乙醇、去离子水超声15min进行预处理,然后保存在无水乙醇中备用。
1.1.3 WO3纳米多孔膜的制备
在室温下,以钨箔为阳极,铂箔为阴极,以含有0.2wt% NaF和0.3wt% HF的混合溶液为电解液,采用电化学阳极氧化法,在60V电压下氧化1h,接着在40 V电压下氧化30min,制备WO3纳米多孔膜。然后,用去离子水冲洗晾干。最后,放入马弗炉中,以1℃/min的升温速率在450℃下煅烧3h,得到WO3纳米多孔膜。
1.1.4 BiVO4/WO3光电极的制备
将制好的WO3/W箔、Pt箔和Ag/AgCl电极分别作工作电极、对电极和参比电极,以50mL 0.03mol/L Bi(NO3)3·5H2O(乙二醇溶剂)为电解质,在三电极电解池中电沉积Bi。在室温下,使用电化学工作站(CHI660E),在-1.8V下进行恒电位电沉积,用无水乙醇冲洗干净并晾干。然后,将电沉积Bi的WO3/W箔置于50mL 0.1mol/L NH4VO3溶液中浸渍,晾干后,置于马弗炉中以2℃/min升温速率在500℃下煅烧2h。最后,将其在1.0mol/L NaOH溶液中浸渍3min,并用大量的去离子水清洗干净,得到BiVO4/WO3光电极。其中将电沉积Bi 50s、100s、150s并在NH4VO3溶液中浸渍3min的BiVO4/WO3光电极,分别标记为BW-a、BW-b、BW-c。将电沉积Bi 150s并在NH4VO3溶液中浸渍1min和5min的BiVO4/WO3光电极,分别标记为BW-d和BW-e。
1.1.5 Pt/C@CC的制备
将224mg Pt/C(20% Pt)粉末与1750μL异丙醇、200μL去离子水和6000μL Nafion 溶液(5%)充分混合,30min超声分散形成粘稠状溶液。放入一块3cm×3cm疏水碳布,使Pt/C均匀的超声涂抹在碳布上。将碳布自然晾干,制备出铂碳电极,标记为 Pt/C@CC。
1.2 材料表征
通过X射线衍射(XRD)表征对光电极的物相组成和晶相进行分析。采用X射线光电子能谱(XPS)表征检测光电极表面的元素组成,通过分析光电子峰的结合能确定元素化学态。采用场发射扫描电镜(FESEM)对光电极的形貌进行表征,同时结合透射电镜(TEM和HRTEM)对材料的微观形貌及结构进行表征。通过紫外-可见漫反射光谱研究光电极的光吸收性能。采用荧光发射光谱(PL)研究光电极的光生电子—空穴分离效率。
1.3 光电化学性能测试
光电极的所有光电化学性能测试均以 BiVO4/WO3、Pt箔和Ag/AgCl电极分别作工作电极、对电极和参比电极构建三电极体系。并使用300 W氙灯模拟太阳光光源结合CHI660E电化学工作站构建测试装置。在上述三电极体系中测试光电流响应曲线条件如下:电解液为50mL 0.5M Na2SO4溶液,施加0.5V外置电压,氙灯保持50s通光避光循环。测量电化学阻抗谱(EIS)条件如下:电解液为2.5mM亚铁氰化钾和2.5mM铁氰化钾混和溶液,无氙灯通光,外置电压为开路电压,测量范围为10-3~106Hz,振幅为5mV。
1.4 光电催化降解实验
光电极的光(电)催化性能研究是在以 BiVO4/WO3作工作电极,Pt箔作对电极和Ag/AgCl作参比电极体系中进行。在自制的石英反应池中,以50mL 10mg/L盐酸四环素、氧四环素、氯四环素(TC、OTC、CTC)为降解对象。首先在暗处进行30min暗吸附,使BiVO4/WO3光电极对TC、OTC、CTC达到吸附平衡。然后,在300W氙灯模拟太阳光照射结合电化学工作站提供0.6V外置辅助电压,测试BiVO4/WO3光电极对TC、OTC、CTC的光电催化降解性能。间隔30min取3mL反应溶液,在紫外-可见分光光度计测量溶液的吸光度,从而计算TC、OTC和CTC的降解率R(%)。
A=kbc
R(%)=Ct/C0×100%=At/A0×100%
1.5 PMS活化光电催化降解实验
光电极的PMS活化光(电)催化性能研究也是在标准三电极体系中进行,分别以BiVO4/WO3@W箔、Pt箔和Ag/AgCl作工作电极、对电极和参比电极。在自制的石英反应池中,以50mL 10mg/L盐酸四环素、氧四环素、氯四环素(TC、OTC、CTC)为降解对象。首先在暗处进行30min暗吸附,使 BiVO4/WO3光电极对TC、OTC、CTC达到吸附-解吸平衡。之后在溶液中加入0.03M的单过硫酸氢钾,在300W氙灯模拟太阳光照射结合电化学工作站提供0.6V外置辅助电压,测试BiVO4/WO3光电极在PMS活化结合光电催化条件下对TC、OTC、CTC的降解性能。每间隔30min取3mL反应溶液,加入0.2mL甲醇对硫酸根自由基进行猝灭,在紫外-可见分光光度计测量溶液的吸光度,从而计算TC、OTC和CTC的降解率。
1.6 光催化燃料电池(PFC)性能测试
采用CHI660E电化学工作站CHI660E在双电极体系中测试光电极的PFC效率。分别以BiVO4/WO3@W箔作阳极、铂碳电极Pt/C@CC作阴极。以300W氙灯提供的模拟太阳光为光源,电解液为0.5M Na2SO4和0.05M H2SO4混合溶液,燃料为1M甲醇,在0.01mV/s扫描速率下,测试电流-电压(J-V)图来分析BiVO4/WO3光电极的PFC性能。并通过以下公式计算填充因子FF:
FF=JVmax/(Jsc×Voc)
式中,Jsc为短路电流密度,Voc为开路电压,JVmax为PFC系统的最大功率密度。
2 结果与讨论
2.1 X射线衍射分析
通过XRD表征分析光电极材料的晶体结构。WO3光电极及5种BiVO4/WO3光电极材料的XRD图谱如图1(a)所示,在23.6°、24.4°处观察到的衍射峰分别对应WO3单斜晶相的(002)与(200)晶面(PDF#32-1395)[26]。负载BiVO4后的BW-c的XRD图谱在28.5°、33.1°处出现新的衍射峰,与单斜相BiVO4的(112)和(200)晶面相对应(PDF#12-0293)[27],其衍射峰随着BiVO4负载量的增加而增强,BW-c的峰强达到最大之后又略有降低。随着BiVO4负载量的增加,WO3的相对含量降低,从而其特征衍射峰的强度逐渐降低,说明BiVO4/WO3光电极材料的成功合成。

图1 (a)WO3、BW-a、BW-b、BW-c、BW-d和BW-e的XRD图谱;(b)WO3与BW-c的XRD图谱
Fig.1 (a)XRD patterns of WO3,BW-a,BW-b,BW-c,BW-d,and BW-e;(b)XRDpatterns of WO3 and BW-c
2.2 X射线电子能谱分析
利用XPS表征对BiVO4/WO3光电极材料的化学组成以及各元素价态进行研究,XPS全谱扫描图如图2(a)所示,显示出W、O、Bi和V元素的存在,是BiVO4/WO3光电极的组成元素。Bi元素的高分辨XPS图谱如图2(b)所示,Bi 4f的两个结合能为159eV和164.5eV,分别对应于Bi3+的Bi 4f5/2和Bi 4f7/2。图2(c)中35.2eV和37.4eV的峰值分别对应W的W 4f7/2和W 4f5/2,表明光电极中W以W6+的价态存在,证实WO3的存在。O 1s的高分辨率XPS图谱如图2(d)所示,在530.8eV和532.6eV处分为两个峰,分别对应于晶格中的O2-和从水分子中化学吸附或解离的氧。图2(e)为V 2p的高分辨率XPS图谱,位于516.7eV和524.1eV处的两个峰对应V 2p3/2和V 2p1/2,这是BiVO4中V5+的典型值。因此,XPS的结果表明,钨箔阳极氧化为WO3,BiVO4成功地负载在WO3上,形成BiVO4/WO3光电极材料[28]。
2.3 光电极的形貌与结构表征
图3展现WO3纳米多孔膜光电极与BiVO4/WO3光电极的观察图。钨箔呈现为银白色,而阳极氧化的WO3变为蓝色,负载BiVO4后颜色逐渐暗沉,随着控制BiVO4的负载量逐渐增大,光电极的颜色转变为黄色,且黄色越来越深。

图2 BW-c的XPS图谱:(a)全谱图;(b)Bi 4f;(c)W 4f;(d)O 1s;(e)V 2p
Fig.2 XPS spectrum of BW-c:(a)Full spectrum;(b)Bi 4f;(c)W 4f;(d)O 1s;(e)V 2p
样品的微观结构可以通过SEM表征分析,如图4所示为WO3和BiVO4/WO3光电极的扫描电镜(SEM)图像,从图4a可以看出,钨箔经过阳极氧化处理后,在整个表面形成规则的纳米多孔氧化钨结构。从图4g中的高分辨率WO3/W SEM图像中,可以清晰的观察到一个复杂的纳米多孔结构,其孔径为直径数十纳米。经过BiVO4修饰后,纳米孔结构被填充,BiVO4呈现为大小不统一且形状不规则的球状,这增加光电极的活性面积。随着BiVO4负载量的增加,可以看到更多更大的BiVO4晶体,BiVO4膜的厚度也随之增加(图4b-4f)。图4h中的高分辨率BiVO4/WO3/W SEM图像中,可以更加清晰的看到BiVO4的微观结构,也初步的印证花球状BiVO4成功的负载在纳米多孔WO3上。

图3 光电极样品的照片,从左至右依次为WO3、BW-a、BW-b、BW-c、BW-d和BW-e
Fig.3 The photo of the photoelectrode sample,WO3,BW-a,BW-b,BW-c,BW-d,and BW-e from left to right

图4 SEM表征图:(a)WO3,(b)BW-a,(c)BW-b,(d)BW-c,(e)BW-d,(f)BW-e,(g)WO3的高分辨率SEM图和(h)BW-c的高分辨率SEM图
Fig.4 SEM characterization images:(a)WO3,(b)BW-a,(c)BW-b,(d)BW-c,(e)BW-d,(f)BW-e,(g)High resolution SEM images of WO3,and(h)High resolution SEM images of BW-c
如图5通过对BW-c光电极进行TEM、HRTEM图谱表征,进一步的分析光电极的微观结构。将电子束聚焦在BW-c上产生电子衍射图,如图5(b)所示,表明BW-c光电极是具有不规则衍射的晶体材料。图5(c)和(d)测量出两种不同的晶格间距,0.383nm和0.368nm,分别对应单斜WO3晶相的(002)与(200)晶格面间距,而测量到的0.263nm和0.314nm的面间距则分别对应单斜BiVO4的(200)和(112)晶格面间距。这进一步证实BiVO4/WO3薄膜中BiVO4和WO3的晶体结构[25]。如图6(a)~(d)所示,BW-c的EDS元素映射表明,W、O、Bi、V四种元素均匀分布,进一步的证明BiVO4纳米颗粒均匀的负载在纳米多孔WO3膜上。
2.4 光学性质分析
由于构建光电极材料是为了改性WO3,提升其光催化性能,并在光(电)催化中加以应用降解污染物。因此,探究光电极与WO3的光学性质至关重要。首先,为了分析光电极与WO3的光吸收范围及光利用率,对其进行紫外-可见吸收光谱的测定。从图7(a)可以观察到,原始的WO3在约428nm处表现出明显的吸收边,而负载BiVO4构建为光电极后,吸收边都右移,且吸收光谱强度显著增强,吸收范围也扩展到可见光区域,表明负载BiVO4后提升WO3的光吸收能力以及强化对可见光的吸收。半导体的能带隙可以根据Kubelka-Munk公式计算得到:

图5 (a)BW-c的TEM图;(b)BW-c的电子衍射图;(c)(d)BW-c的HRTEM图
Fig.5 (a)TEM image of BW-c;(b)Electron diffraction pattern of BW-c;(c)(d)HRTEM image of BW-c

图6 BW-c的的元素映射图:(a)Bi,(b)O,(c)W 和(d)V
Fig.6 The element mapping diagram of BW-c: (a)Bi,(b)O,(c)W,and(d)V αhν = A(hν-Eg)n/2
式中,α表示吸收系数,h表示普朗克常数,Eg表示带隙能,A为常数。而n的值则由半导体的特性来确定,直接带隙半导体则n=1,间接带隙半导体来说则n=4。因此,间接带隙半导体WO3的n=4,而直接带隙半导体BiVO4的n=1。计算结果图7(b)、(c)和(d)所示,WO3带隙能为2.45eV,BiVO4的带隙能为2.44eV,而BW-a、BW-b、BW-c、BW-d和BW-e的带隙能则分别为2.45eV、2.41eV、2.20eV、2.38eV和2.32eV[27,28]。由此可以证明,BiVO4成功负载在WO3上,构建的光电极带隙变小,从而拓宽光电极的光吸收范围,提高光吸收效率。

图7 (a)WO3、BW-a、BW-b、BW-c、BW-d和BW-e的紫外可见漫反射光谱图;(b)WO3的Kubelka-Munk变换微分光谱;(c)BW-a、BW-b、BW-c、BW-d和BW-e的Kubelka-Munk变换微分光谱图;(d)BiVO4的Kubelka-Munk变换微分光谱;(e)WO3和BiVO4的XPS价带谱图
Fig.7 (a)UV visible diffuse reflectance spectrum of WO3、BW-a、BW-b、BW-c、BW-d and BW-e;(b)Kubelka Munk transform differential spectra of WO3;(c)Kubelka Munk transform differential spectra of BW-a,BW-b,BW-c, BW-d,and BW-e;(d)Kubelka Munk transform differential spectra of BiVO4;(e)XPS valence band spectra of WO3 and BiVO4
为了计算出WO3与BiVO4的能带位置,通过XPS价带和漫反射带隙计算能够推导出WO3与BiVO4的导带。如图7(e)所示,WO3的价带为 2.68eV,BiVO4的价带为2.02eV,计算后WO3的导带为 0.23eV,BiVO4 的导带为-0.42eV。ECB由下式计算[27,28]:
ECB=EVB-Eg
光生电子—空穴分离、传输和复合直接影响光电极的性能,因此研究WO3及其光电极的光生电子—空穴的复合速率是判断WO3及其光电极光催化性能的重要依据。而光致发光(PL)发射光谱可以反映光电极载流子的复合过程。强PL信号表明光电极具有较高的载流子复合率,弱PL信号表明光电极具有高效的电荷分离。图8(a)为在激发波长为400nm下光电极的荧光发射光谱。可以看到,BW-a、BW-b、BW-c和BW-d的PL发射强度均低于WO3,表明BiVO4负载在WO3上构建的异质结光电极成功的降低光生电子和空穴对的复合速率。而BW-e的PL发射强度却又高于WO3。说明过量负载BiVO4会覆盖WO3的高导电性表面,降低光电极整体导电性,且过量BiVO4难以均匀分布,从而影响电荷传输。

图8 (a)WO3、BW-a、BW-b、BW-c、BW-d和BW-e荧光发射光谱图;(b)WO3和BW-c的TRPL衰减光谱图
Fig.8 (a)Fluorescence emission spectra of WO3,BW-a,BW-b,BW-c,BW-d,and BW-e;(b)TRPL attenuation spectra of WO3 and BW-c
为进一步探究光电极光生电子—空穴的复合率,采用瞬态荧光光谱(TRPL)检测光电极的平均荧光寿命(τA)。荧光衰减过程与电子—空穴的复合行为相关,较长的荧光寿命表明载流子的复合率较低,从而有利于光电极的电荷分离。WO3及BW-c的瞬态荧光光谱结果如图8(b)所示,通过公式可计算出WO3及BW-c的平均荧光寿命分别为2.32ns和2.13ns。表明当BiVO4负载WO3后,光电极表面的反应速率加快,载流子迅速参与催化反应,减少复合时间,导致荧光寿命短,但是催化性能增强。平均荧光寿命的计算公式如下:
![]()
2.5 光电性质分析
为了继续分析WO3和光电极的光生电子—空穴的分离性能及光电化学性质,对各光电极进行光电流响应、电化学阻抗谱、线性伏安曲线和时间电压曲线的测试。如图9(a)所示为通避光50s下的光电流响应曲线,所有样品在通光避光下都表现出快速且可重现的光电流响应,说明光生电子传输速度都比较快。而光照时,光电流密度越大则代表材料的光生电子—空穴的分离效率能越高[29]。明显看出WO3光电流密度最小,为0.147mA/cm2,负载BiVO4后BiVO4/WO3光电极的光电流密度都有所提升。BW-a、BW-b、BW-b、BW-d和BW-e的光电流密度则分别为0.32mA/cm2、0.226mA/cm2、0.406mA/cm2、0.297mA/cm2和0.233mA/cm2。光电流密度从升高到降低说明BiVO4负载WO3纳米多孔膜后拓宽光电极的光吸收范围,提高光能利用率,增加表面反应活性位点,从而有效地减少光生电子和空穴的复合。而过量负载BiVO4之后,WO3表面活性位点被覆盖,减少反应有效区域,从而导致光电流性质下降。光电化学阻抗谱(EIS)可看出BiVO4的负载对WO3阻抗特性的影响(图9b)。一般情况下,阻抗与电弧半径有关。

图9 WO3、BW-a、BW-b、BW-c、BW-d和BW-e的(a)光电流-时间曲线图;(b)EIS奈奎斯特图;(c)LSV曲线图;(d)时间电压曲线图
Fig.9 WO3、BW-a、BW-b、BW-c、BW-d和BW-e(a)Photocurrent time curve graph;(b)EIS Nyquist plot;(c)LSV curve chart;(d)Time voltage curve graph
较小的半径则表明具有低电阻的特性,表明光电极与电解质之间的界面电荷传递速率得到提高[29]。WO3的圆弧半径最大,代表其电阻最大,负载BiVO4后都有效的降低光电极的电阻。其中BW-c光电极的电阻最低,光生电子—空穴的分离效果能最好,这与光电流的测试结果相对应。证明BiVO4与WO3结合后材料的整体导电性增强,且异质结界面促进电荷快速转移,降低界面电阻,从而光电极阻抗降低。
进一步采用线性伏安曲线以及时间电压曲线对WO3和BiVO4/WO3光电极的光电化学性能进行研究。如图9(c)为测试的线性伏安曲线。可以看出WO3和BiVO4/WO3光电极的光电流密度随着外加电位的增加而逐渐增大,且电压在0.6V后光电极的光电流密度增长趋势变缓慢,可以说明辅助电压为0.6V时,可以驱动光生电子和空穴向相反方向迁移,减少复合,提高电荷分离效率。由图9(c)可以看出随着电压增大WO3的光电流密度变化最小,而BW-c光电极的光电流密度变化最大,这结果与之前EIS等测试很好的对应。进一步证明BiVO4负载WO3后能够有效提高光电极的导电性,促进电荷的快速传输,光电极减小带隙提高光电转换效率,从而提升其光电化学性能,且BW-c样品的性能最优。图9(d)为时间-电压曲线,可以看出,大部分BiVO4/WO3光电极的电压都高于WO3,尤其是BW-c光电极,开路电压值最大,且通避光时电压响应变化也最大。证明BW-c光电极具有最优异的光电化学性能[29]。

图10 (a)WO3、BW-a、BW-b、BW-c、BW-d和BW-e的光催化降解TC图;(b)不同光电极光电催化降解TC图;(c)BW-c不同条件下降解TC图;(d)BW-c光电催化以及PMS活化光电催化降解TC、OTC和CTC图
Fig.10 (a)The photocatalytic degradation of TC by WO3,BW-a,BW-b,BW-c,BW-d,and BW-e;(b)Photocatalytic degradation of TC by different photoelectrodes;(c)Degradation of TC under different conditions inBW-c;(d)The degradation of TC,OTC,and CTC by BW-c photocatalysis and PMS activated photocatalysis
2.6 光电催化性能研究
本研究选择盐酸四环素(TC)为典型污染物进行光(电)催化降解测试,考察WO3与BiVO4/WO3光电极材料在不同条件下对盐酸四环素降解效率。如图10(a)所示WO3、BW-a、BW-b、BW-c、BW-d和BW-e光电极对TC的光催化降解率分别为40.6%、50%、48.1%、50%、45.1%和40.4%。可以看出,BiVO4/WO3光电极的光催化性能都优于WO3,且对TC的降解率随BiVO4负载量的增加先升高而后又有所降低。在0.6V辅助偏压下,BiVO4/WO3光电极对TC的光电催化降解性能显著增强。WO3、BW-a、BW-b、BW-c、BW-d和BW-e降解率分别为69%、80%、77%、84.5%、75%和76%。也呈现出光电极降解率随BiVO4负载量的增加先升高而后又有所降低这一现象,这说明适当的BiVO4负载有利于与WO3建立异质结结构,优化能带结构,增强光吸收,降低阻抗,增加活性位点从而显著提升光电化学性能和催化降解效率。当BiVO4负载过量时,导致光吸收饱和,WO3表面活性位点被覆盖,减少反应有效区域,负载不均匀影响电荷传输,从而降低光电催化性能。
不同条件下的TC降解对比如图10(c)所示,使用BW-c光电极对盐酸四环素溶液进行暗吸附、电催化、光催化和光电催化反应。暗吸附后,TC几乎没有被降解,降解率仅为1.3%,电催化经过120min后降解率为6.9%。而模拟太阳光照对盐酸四环素光解作用120min后,盐酸四环素的去除率为12.2%。使用BW-c光电极对盐酸四环素进行光催化降解,120min后去除率提升至50%。而当给BW-c光电极施加一个0.6V的外置偏压进行光电催化降解后,盐酸四环素去除率急剧提高至84.5%。光电催化的降解效率高于光催化,这是由于外置施加的偏压驱动光生电子和空穴向相反方向迁移,显著减少电子—空穴复合,提高电荷分离效率,使空穴直接参加氧化反应从而提高催化性能。
2.7 PMS活化光电催化性能研究
为了进一步提升BiVO4/WO3光电极的光电催化降解性能,进行PMS活化结合光电催化降解四环素的研究[30]。如图10(d)所示,以BW-c样品作光电阳极,在PMS活化辅助下BW-c光电极对盐酸四环素、氧四环素和氯四环素的光电催化降解率显著提升,分别是95.8%、85.6%和96.9%。首先,BW-c光电极在光电催化条件下对于各种四环素都具有很高的去除率,说明其具有优异的光电催化性能,且对于四环素类污染物具有普适性。证明PMS活化可以有效促进BiVO4/WO3光电极的光电催化性能。这是因为光电催化和过硫酸盐氧化对抗生素的去除具有正协同作用,过硫酸盐可以作电子受体捕获光生电子,通过自活化产生硫酸根自由基,这些自由基具有极强的氧化能力,能够快速降解污染物。同时,由于光电极的光生电子能够被PMS所利用,光生电子—空穴的分离更容易,从而可以大大提高电荷分离。因此PMS活化可以显著提高污染物的降解性能。
2.8 光催化燃料电池(PFC)性能研究
为了进一步探究光电极的光电性能,本文以WO3及BiVO4/WO3作阳极,以铂碳电极Pt/C@CC作阴极,在1M甲醇作燃料,0.5M Na2SO4和0.05M H2SO4的混合溶液作电解液的条件下,探究不同光电极的PFC性能。图11(a)和(b)为测试的电流-电压曲线和功率密度曲线,各光电极的开路电压(VOC)、短路电流密度(JSC)和填充系数(FF)如表1所示。填充因子(FF)是最大输出功率与短路电流和开路电压乘积的比,填充因子越大,燃料电池性能越好。FF的计算公式为[26]:
FF=JVmax/(JSC×VOC)
从表1可以看出WO3、BW-a、BW-b、BW-c、BW-d和BW-e光电极的FF值分别为0.2801、0.3246、0.3778、0.3793、0.3493和0.3168。其中BW-c光电极的FF最大,优于其他光电极。
图11(c)和(d)为盐酸四环素做为燃料时测试的电流-电压曲线和功率密度曲线。如表2所示,WO3、BW-a、BW-b、BW-c、BW-d和BW-e光电极的FF值分别为0.3662、0.3406、0.3236、0.3772、0.3154和0.3069。而JSC值则分别为1.6704、1.8085、1.5848、2.4003、2.0292和1.8086mA/cm2。其中BW-c有着最大的FF值与JSC值。且BW-c的JSC值和VOC值为2.4003mA/cm2和1.5606V,表现出最高的JVmax值1.4130mW/cm2。说明BW-c光电极具有最优异的PFC产电性能[26]。
表1 甲醇为燃料时不同光电极的产电情况
Table 1 Electricity production of different photoelectrodes when methanol is used as fuel
|
光电极 |
VOC(V) |
JSC(mA/cm2) |
JVmax(mW/cm2) |
FF |
|
WO3 |
1.5595 |
1.5995 |
1.8743 |
0.2801 |
|
BW-a |
1.5991 |
3.1446 |
1.6321 |
0.3246 |
|
BW-b |
1.5999 |
3.2472 |
1.9631 |
0.3778 |
|
BW-c |
1.5997 |
2.0875 |
1.2659 |
0.3793 |
|
BW-d |
1.5993 |
2.7254 |
1.5224 |
0.3493 |
|
BW-e |
1.5992 |
1.4726 |
0.7461 |
0.3168 |
表2 盐酸四环素为燃料时不同光电极的产电情况
Table 2 Electricity generation of different photoelectrodes when tetracycline hydrochloride is used as fuel
|
光电极 |
VOC(V) |
JSC(mA/cm2) |
JVmax(mW/cm2) |
FF |
|
WO3 |
1.5991 |
1.6704 |
0.9781 |
0.3662 |
|
BW-a |
1.5817 |
1.8085 |
0.9744 |
0.3406 |
|
BW-b |
1.5553 |
1.5848 |
0.7976 |
0.3236 |
|
BW-c |
1.5606 |
2.4003 |
1.4130 |
0.3772 |
|
BW-d |
1.5643 |
2.0292 |
1.0013 |
0.3154 |
|
BW-e |
1.5887 |
1.8086 |
0.8817 |
0.3069 |

图11 在甲醇为燃料时WO3、BW-a、BW-b、BW-c、BW-d和BW-e的(a)J-V图;(b)J-JVmax图;在TC为燃料时WO3、BW-a、BW-b、BW-c、BW-d和BW-e的(c)J-V图;(d)J-JVmax图;在OTC为燃料时WO3、BW-a、BW-b、BW-c、BW-d和BW-e的(e)J-V图;(f)J-JVmax图
Fig.11 When methanol is used as fuel,WO3、BW-a、BW-b、BW-c、BW-and BW-e(a)J-V diagram;(b)J-JVmax diagram;When TC is used as fuel,WO3、BW-a、BW-b、BW-c、BW-d and BW-e(c)J-V diagram;(d)J-JVmax diagram;When OTC is used as fuel,WO3、BW-a、BW-b、BW-c、BW-d和BW-e(e)J-V diagram;(f)J-JVmax diagram
图11(e)和(f)为氧四环素做为燃料时测试的电流-电压曲线和功率密度曲线。如表3所示,WO3、BW-a、BW-b、BW-c、BW-d和BW-e光电极的FF值分别为0.3341、0.2294、0.1097、0.3052、0.2215和0.2274。而JSC值则分别为1.7613、1.4534、1.3797、1.9680、1.6086和1.3762mA/cm2。其中BW-c有着最大的JSC值1.9680mA/cm2,且FF高达0.3052,证明异质结的形成拓宽光电极的光吸收范围,提高光能利用率;增强光阳极的导电性,降低材料的阻抗;异质结界面提供更多活性位点,增强催化反应;因此有效的提高光电极的PFC产电性能。
表3 氧四环素为燃料时不同光电极的产电情况
Table 3 Electricity generation of different photoelectrodes when tetracycline is used as fuel
|
光电极 |
VOC(V) |
JSC(mA/cm2) |
JVmax(mW/cm2) |
FF |
|
WO3 |
1.5999 |
1.7613 |
0.9415 |
0.3341 |
|
BW-a |
1.3121 |
1.4534 |
0.4376 |
0.2294 |
|
BW-b |
1.3932 |
1.3797 |
0.2109 |
0.1097 |
|
BW-c |
1.5143 |
1.9680 |
0.9095 |
0.3052 |
|
BW-d |
1.4553 |
1.6086 |
0.5185 |
0.2215 |
|
BW-e |
1.3565 |
1.3762 |
0.4246 |
0.2274 |
2.9 稳定性研究
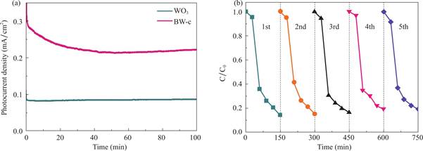
光电极材料是否能重复利用至关重要,因此探究光电极材料的稳定性具有重大意义。首先研究WO3及BW-c光电极的光电流稳定性。如图12(a)所示,在光照100min且辅助偏压为0.6 V时测试光电流曲线,可以看出WO3及BW-c光电极的光电流密度在长时间内没有大幅下降,因此证明WO3及BW-c光电极稳定性良好。
如图12(b)所示,对BW-c光电极进行光电催化降解实验稳定性测试。重复降解实验5次,发现BW-c光电极对TC的光电催化降解率没有明显降低,证明其优异的光电催化稳定性,可以有效回收且重复利用。这表明异质结结构抑制单一材料的光腐蚀现象,延长光电极的使用寿命。

图12 (a)WO3和BW-c的光电流-时间曲线;(b)BW-c光电催化降解TC的循环实验图
Fig.12 (a)photocurrent time curves of WO3 and BW-c;(b)Cycle experiment diagram of BW-c photocatalytic degradation of TC
对降解之后的BW-c光电极进行SEM,XRD和XPS表征。图13为降解前后BW-c光电极的SEM图,可以很清楚的看出,BW-c光电极的形貌没有发生明显变化。图14为降解前后BW-c光电极的XRD图,可以看出BiVO4的衍射峰强度略微变弱,这是由于在降解实验中BW-c光电极材料表面有部分BiVO4从WO3上脱落。从图15的XPS全谱图可看出,全谱图中的Bi、V峰强度略微变低,在Bi、V的高分辨率XPS图谱中也可以看出XPS衍射峰强度变弱。同样说明经过降解实验后,BW-c光电极材料表面有部分BiVO4从WO3上脱落[28]。

图13 BW-c的SEM对比图(a)降解前;(b)降解后
Fig.13 SEM comparison of BW-c(a)before degradation;(b)After degradation

图14 BW-c在降解前后的XRD对比图
Fig.14 XRD comparison of BW-c before and after degradation
2.10 光电催化作用机理研究
光催化的一般原理是光激发光催化材料在水相中产生电子和空穴,然后产生氧化物。因此,探究降解反应中产生的主要氧化物对解释光催化反应的机理至关重要。本文通过活性物质捕获和EPR定量实验,确定催化降解过程中涉及的主要氧化物种类。进一步揭示光电极与水之间发生的电荷转移和催化过程对TC的光电催化降解。如图16(a)为在光电催化降解时分别加入乙二胺四乙酸二钠(EDTA-2Na)、糠醇(FFA)、超氧化物歧化酶模拟物(Tempol)、叔丁醇(TBA)为h+、1O2、·
和·OH的捕获剂的光电催化降解图。从图16(a)中可以看出,在没有添加任何自由基捕获剂时,BW-c光电极对盐酸四环素的去除率为84.5%,而添加捕获剂之后,盐酸四环素的降解率均有不同程度的下降。在加入叔丁醇(TBA)做·OH的捕获剂时,盐酸四环素降解率的下降趋势略微减弱,对盐酸四环素降解性能的影响较小,这表明·OH在光电催化降解实验中不是主要活性物质。而加入糠醇(FFA)、超氧化物歧化酶模拟物(Tempol)时,盐酸四环素的降解率在68%左右,降解效率减慢。投加乙二胺四乙酸二钠(EDTA-2Na)后,盐酸四环素的降解率受到明显抑制,降解效率明显减慢,去除率仅为56.1%。这说明h+在BW-c光电极光电催化降解盐酸四环素中起主要作用,1O2、·
起次要作用。
为了进一步验证活性物质捕获实验,对BW-c光电极进行EPR分析,如图16(b)~(e)所示。从图可以看出在黑暗条件时,TEMPO-h+、DMPO-·
、TEMP-1O2和DMPO-·OH的信号都非常微弱,说明在黑暗条件下BW-c光电极无法产生这些活性自由基。而这些信号在辐照1min后就被观察到,10min后信号值明显增强。这证明在光照条件下BW-c光电极上产生h+、1O2、·
和·OH活性自由基,且都是光(电)催化的活性组分,这与捕获实验的结果一致。并且表明h+、1O2、·
和·OH活性自由基浓度和光照时间呈正相关。

图15 BW-c在降解前后的XPS对比图
Fig.15 XPS comparison of BW-c before and after degradation
根据上述的捕获试验结果并结合之前根据XPS价带和漫反射计算出WO3和的BiVO4导带和价带,推测出BiVO4/WO3光电极光电催化降解盐酸四环素的机理。如图17所示,在模拟太阳光的照射下WO3和BiVO4的电子受光激发从VB跃迁到CB。然后将空穴留在VB上,空穴具有一定的氧化性,可以直接氧化抗生素,达到去除抗生素的目的。WO3和BiVO4的接触界面形成Z型异质结,受光激发后WO3 CB上的电子与BiVO4的VB上的空穴相结合,释放出BiVO4 CB上还原能力更强的电子和WO3 VB上氧化能力较高的空穴,从而提高光电极

图16 (a)BW-c自由基捕获效果图;ESR光谱(b)TEMPO-h+;(c)DMPO-·
;(d)TEMP-1O2;(e)DMPO-·OH
Fig.16 (a)The capture effect of BW-c free radicals;ESR spectrum(b)TEMPO-h+;(c)DMPO-·
;(d)TEMP-1O2;(e)DMPO-·OH
的氧化还原能力。而富集在BiVO4 CB上的电子可以将光电极表面的O2还原为·
,这是由于BiVO4的导带电位(-0.42eV)低于O2/·
(-0.33eV)的还原电位。因此大量的·
生成,并且部分·
可以与h+反应生成1O2。而WO3 的价带电位(2.68eV)要比OH-/·OH(2.38eV)和H2O/·OH(2.27eV)的氧化电位更正,所以WO3 VB上的h+具有强氧化性,一方面可以反应生成·OH,另一方面可以直接参与盐酸四环素的降解[31]。因此BiVO4和WO3构建的Z型异质结复合光电极在模拟太阳光的照射下生成大量的强氧化性自由基和非自由基,共同作用于盐酸四环素的光电催化降解。且构建的异质结结构,有效的提升光电极的电子—空穴的分离能力,促进载流子的高效传输,从而极大地提升光电催化降解性能。

图17 BiVO4/WO3光电极光电催化降解盐酸四环素机理图
Fig.17 Mechanism diagram of BiVO4/WO3 photoelectrode photocatalytic degradation of tetracycline hydrochloride
3 结论
为了抑制光生电荷的复合,提升WO3的光电催化性能,通过阳极氧化法结合电沉积-化学氧化法构建BiVO4/WO3光电极,并将其应用于光电催化降解四环素类污染物(四环素、氧四环素和氯四环素)以及光催化产电的研究。由于Z型异质结界面的形成,BiVO4/WO3光电极具有优异的光吸收特性、光生电荷分离效率和氧化还原能力,以及显著增强的光电催化性能。此外,BiVO4/WO3光电极在五次循环试验后,降解和产电性能没有明显下降,证明其具有较好的光稳定性和循环利用性。通过自由基捕获和电子顺磁共振谱发现,BiVO4/WO3光电极能够产生大量强氧化性自由基(·
和·OH)和非自由基(h+和1O2),参与光电催化降解污染物。因此,本研究为设计和合成Z型异质结光电极以构建高性能降解污染物和发电的光电催化体系开辟新的思路。
利益冲突: 作者声明无利益冲突。
[①] *通讯作者 Corresponding author:李婷婷,40033@nchu.edu.cn
收稿日期:2025-01-20; 录用日期:2025-03-27; 发表日期:2025-06-28
基金项目:国家自然科学基金地区基金项目(52260027)、江西省自然科学基金项目(20242BAB25322)资助。
参考文献(References)
[1] Ting-ting Zhu, Zhong-xian Su, Wen-xia Lai, et al. Insights into the fate and removal of antibiotics and antibiotic resistance genes using biological wastewater treatment technology[J]. Science of The Total Environment, 2021, 776: 145906.
https://doi.org/10.1016/j.scitotenv.2021.145906
[2] Adriana Osińska, Ewa Korzeniewska, Monika Harnisz, et al. Small-scale wastewater treatment plants as a source of the dissemination of antibiotic resistance genes in the aquatic environment[J]. Journal of Hazardous Materials, 2020, 381: 121221.
https://doi.org/10.1016/j.jhazmat.2019.121221
[3] Célia M. Manaia, Jaqueline Rocha, Nazareno Scaccia, et al. Antibiotic resistance in wastewater treatment plants: Tackling the black box[J]. Environment International, 2018, 115: 312-324.
https://doi.org/10.1016/j.envint.2018.03.044
[4] Zhidong Wei, Junying Liu, Wenfeng Shangguan, A review on photocatalysis in antibiotic wastewater: Pollutant degradation and hydrogen production[J]. Chinese Journal of Catalysis, 2020, 41: 10, 1440-1450.
https://doi.org/10.1016/s1872-2067(19)63448-0
[5] Jinyan Cao, Leiduo Lai, Bo Lai, et al. Degradation of tetracycline by peroxymonosulfate activated with zerovalent iron: Performance, intermediates, toxicity and mechanism[J]. Chemical Engineering Journal, 2019, 364: 45-56.
https://doi.org/10.1016/j.cej.2019.01.113
[6] Jianlong Wang, Run Zhuan. Degradation of antibiotics by advanced oxidation processes: An overview[J]. Science of The Total Environment, 2020, 701: 135023.
https://doi.org/10.1016/j.scitotenv.2019.135023
[7] Hua Wang, Xiufeng Lang, Rui Hao, et al. Facet-defined AgCl nanocrystals with surface-electronic-structuredominated photoreactivities[J]. Nano Energy, 2016, 19: 8-16.
https://doi.org/10.1016/j.nanoen.2015.11.022
[8] Wenqing Guo, Tao Guo, Yuanzheng Zhang, et al. Progress on simultaneous photocatalytic degradation of pollutants and production of clean energy: A review[J]. Chemosphere, 2023, 339: 139486.
https://doi.org/10.1016/j.chemosphere.2023.139486
[9] Potlako J. Mafa, Alex T. Kuvarega, Bhekie B. Mamba, Bulelwa Ntsendwana, Photoelectrocatalytic degradation of sulfamethoxazole on g-C3N4/BiOI/EG p-n heterojunction photoanode under visible light irradiation[J]. Applied Surface Science, 2019, 483: 506-520.
https://doi.org/10.1016/j.apsusc.2019.03.281
[10] Mahmoud Nasrollahzadeh, Mohaddeseh Sajjadi, Siavash Iravani, et al. Green-synthesized nanocatalysts and nanomaterials for water treatment: Current challenges and future perspectives[J]. Journal of Hazardous Materials, 2021, 401: 123401.
https://doi.org/10.1016/j.jhazmat.2020.123401
[11] 李宇涵, 任自藤, 段有雨, 等. 锡酸锌基光催化材料研究进展[J]. 稀有金属, 2023, 47(01): 73-89.
https://doi.org/10.13373/j.cnki.cjrm.XY22060007
[12] 赵子龙, 闫蕊, 曲阳, 等. 三嗪类污染物光催化降解研究进展[J]. 稀有金属, 2023, 47(01): 90-104.
https://doi.org/10.13373/j.cnki.cjrm.XY22080015
[13] Caroline H. Claudino, Maria Kuznetsova, Bárbara S. Rodrigues, et al. Facile one-pot microwave-assisted synthesis of tungsten-doped BiVO4/WO3 heterojunctions with enhanced photocatalytic activity[J]. Materials Research Bulletin, 2020, 125: 110783.
https://doi.org/10.1016/j.materresbull.2020.110783
[14] Reda M. Mohamed, Ahmed Shawky. Improved photocatalytic oxidation of ciprofloxacin by NiS-coupled WO3 nanorods synthesized by solvothermal method under visible light[J]. Ceramics International, 2023, 49(13): 21855-21863.
https://doi.org/10.1016/j.ceramint.2023.04.008
[15] Javier Fragoso, Davide Barreca, Lorenzo Bigiani, et al. Chiara Maccato, Enhanced photocatalytic removal of NOx gases by β-Fe2O3/CuO and β-Fe2O3/WO3 nanoheterostructures[ J]. Chemical Engineering Journal, 2022, 430(2): 132757.
https://doi.org/10.1016/j.cej.2021.132757
[16] Junchen Zhou, Shiwei Lin, Yongjun Chen, et al. Facile morphology control of WO3 nanostructure arrays with enhanced photoelectrochemical performance[J]. Applied Surface Science, 2017, 403: 274-281.
https://doi.org/10.1016/j.apsusc.2017.01.209
[17] C. Guillén, J. Herrero, Amorphous WO3-x thin films with color characteristics tuned by the oxygen vacancies created during reactive DC sputtering[J]. Journal of Materials Science & Technology, 2021, 78: 223-228.
https://doi.org/10.1016/j.jmst.2020.11.036
[18] Chakkaphan Wattanawikkam, Atipong Bootchanont, Porramain Porjai, et al. Phase evolution in annealed Ni-doped WO3 nanorod films prepared via a glancing angle deposition technique for enhanced photoelectrochemical performance[J]. Applied Surface Science, 2022, 584: 152581.
https://doi.org/10.1016/j.apsusc.2022.152581
[19] Liang Zhou, Yunfeng Li, Sijia Yang, et al. Preparation of novel 0D/2D Ag2WO4/WO3 Step-scheme heterojunction with effective interfacial charges transfer for photocatalytic contaminants degradation and mechanism insight[J]. Chemical Engineering Journal, 2021, 420(3): 130361.
https://doi.org/10.1016/j.cej.2021.130361
[20] Hua Wang, Tingting You, Weiwei Shi, et al. Au/TiO2/ Au as a Plasmonic Coupling Photocatalyst[J]. Journal of Physical Chemistry C, 2012, 116(10): 6490-6494.
https://doi.org/10.1021/jp212303q
[21] Meysam Tayebi, Ahmad Tayyebi, Byeong-Kyu Lee, et al. The effect of silver doping on photoelectrochemical(PEC)properties of bismuth vanadate for hydrogen production[J]. Solar Energy Materials and Solar Cells, 2019, 200: 109943.
https://doi.org/10.1016/j.solmat.2019.109943
[22] Yuelin Wei, Yunfang Huang, Yu Fang, et al. Hollow mesoporous TiO2/WO3 sphere heterojunction with high visible-light-driven photocatalytic activity[J]. Materials Research Bulletin, 2019, 119: 110571.
https://doi.org/10.1016/j.materresbull.2019.110571
[23] Hua Wang, Yusong Bai, Hao Zhang, et al. CdS Quantum Dots-Sensitized TiO2 Nanorod Array on Transparent Conductive Glass Photoelectrodes[J]. The Journal of Physical Chemistry C, 2010, 114(39): 16451-16455.
https://doi.org/10.1021/jp104208z
[24] Dandan Yu, Jie Bai, Haiou Liang, et al. Fabrication of a novel visible-light-driven photocatalyst Ag-AgI-TiO2 nanoparticles supported on carbon nanofibers[J]. Applied Surface Science, 2015, 349: 241-250.
https://doi.org/10.1016/j.apsusc.2015.05.019
[25] Chunyun Hou, Jiangwei Yu, Jinrui Ding, et al. An effective route for growth of WO3/BiVO4 heterojunction thin films with enhanced photoelectrochemical performance[ J]. Journal of Industrial and Engineering Chemistry, 2021, 104: 146-154.
https://doi.org/10.1016/j.jiec.2021.08.018
[26] Ligang Xia, Jing Bai, Jinhua Li, et al. A highly efficient BiVO4/WO3/W heterojunction photoanode for visiblelight responsive dual photoelectrode photocatalytic fuel cell[J]. Applied Catalysis B: Environmental, 2016, 183: 224-230.
https://doi.org/10.1016/j.apcatb.2015.10.050
[27] Dyovani Coelho, João Pedro R. S. Gaudêncio, Saulo A. Carminati, et al. Bi electrodeposition on WO3 photoanode to improve the photoactivity of the WO3/BiVO4 heterostructure to water splitting[J]. Chemical Engineering Journal, 2020, 399: 125836.
https://doi.org/10.1016/j.cej.2020.125836
[28] Vijay S. Kumbhar, Hyeonkwon Lee, Jaewon Lee, et al. Interfacial growth of the optimal BiVO4 nanoparticles onto self-assembled WO3 nanoplates for efficient photoelectrochemical water splitting[J]. Journal of Colloid and Interface Science, 2019, 557: 478-487.
https://doi.org/10.1016/j.jcis.2019.09.037
[29] S. Sadhasivam, N. Anbarasan, A. Gunasekaran, et al. Bi2S3 entrenched BiVO4/WO3 multidimensional triadic photoanode for enhanced photoelectrochemical hydrogen evolution applications[J]. International Journal of Hydrogen Energy, 2022, 47(32): 14528-14541.
https://doi.org/10.1016/j.ijhydene.2022.02.199
[30] Siyan Li, Yiwu Tang, Min Wang, et al. NiO/g-C3N42D/2D heterojunction catalyst as efficient peroxymonosulfateactivators toward tetracycline degradation: Characterization, performance and mechanism [J]. Journal of Alloys and Compounds, 2021, 880: 160547.
https://doi.org/10.1016/j.jallcom.2021.160547
[31] Xiaoyu Qiu, Jiaming Li, Yiyang Zhao, et al. The formationof Z-scheme AgI/BiOBr heterojunction and its excellentphotocatalytic performance[J]. Journal of Alloysand Compounds, 2023, 967: 171739.
https://doi.org/10.1016/j.jallcom.2023.171739
Construction and Mechanism Study of Z-scheme BiVO4/ WO3 Photoelectrodes Based on Anodized Tungsten Oxide Foils
(School of Environmental and Chemical Engineering, Nanchang Hangkong University, Nanchang 330063, China)
Abstract: Tungsten trioxide is an ideal candidate for photoelectrodes because of its good visible light response, oxidizing ability, and photocorrosion resistance. However, the defects of tungsten trioxide, including poor photogenerated charge separation efficiency, reducing ability, and active site density, limit its wide application. In this paper, BiVO4/WO3 was in situ grown on tungsten foi by anodic oxidation combined with electrodeposition-chemical oxidation methods. Under the synergic effect of simulated solar irradiation and auxiliary bias voltage of 0. 6 V, the degradation rates of tetracycline hydrochloride, oxytetracycline and chlortetracycline by the BiVO4/WO3 photoelectrodes were 95. 8%, 85. 6%, and 96. 9%, respectively. In addition, the photocatalytic fuel cell constructed with a BiVO4/WO3 photoelectrode as anode and a platinumcarbon cathode exhibited excellent power production performance. When methanol was used as the fuel, the filling factor FF could reach 0. 3793, which is 1. 35 times that of WO3 photoelectrode. The interface between BiVO4 and WO3 forms a Z-scheme heterojunction, which endows the BiVO4/WO3 photoelectrode has the advantages of multiple active sites, strong light capture, high photogenerated charge separation efficiency and redox capacity.
Keywords: BiVO4/WO3, photoelectrocatalysis, Z-scheme heterojunction, degradation, power generation
DOI: 10.48014/jccm.20250120001
Citation: YANG Fulin, LI Tingting, LIN Yuxi, et al. Construction and mechanism study of Z-scheme Bi- VO4/WO3 photoelectrodes based on anodized tungsten oxide foils[J]. Journal of Chinese Chemistry and Materials, 2025, 1(1): 1-21.